해외여행 시에 국가별 감염병 정보에 따라 예방 접종이 필요한 나라가 있습니다. 필요한 백신은 출국 최소 2주 전에 접종받도록 되어 있습니다. 감염병 종류에 대해 알아보고 예방 접종 방법에 대해 설명드리겠습니다.
감염병 종류
- 지카바이러스감염증: 감염된 숲모기에 의한 전파나 수열 및 성접촉으로 인한 감염인 지카바이러스감염증은 발진, 발열, 관절통, 결막염 등의 증상을 보입니다. 상용화된 예방백신이 없는 것이 특징입니다. 모기기피제, 모기장 등을 사용하고 긴 의류를 입어 예방합니다.
- 뎅기열: 지카바이러스와 마찬가지로 숲모기류와 혈액을 통해 감염됩니다. 두통, 근육통 등의 약한 증상부터 간염, 심근염의 증상도 나타날 수 있습니다. 상용화된 예방 백신이 없으므로 지카바이러스와 같이 모기기피제, 모기장, 긴의류를 착용하여 예방합니다.
- 홍역: 홍역 바이러스에 의한 질환으로 호흡기 분비물 등의 비말과 공기를 통해 감염됩니다. 고열과 발진 등의 증상이 있습니다. 성인의 경우 면역의 증거가 없으면 4주 간격으로 2회의 접종을 권고합니다. 손을 잘 씻고 오염된 손으로 눈, 코, 입 등을 만지지 않는 것으로 예방할 수 있습니다.
- 황열: 황열 바이러스에 의한 감염으로 매개모기나 혈액을 통해 전파됩니다. 발열, 두통의 증상이 있으며 오심, 구토 등도 발생할 수 있습니다. 남미나 아프리나 황열 위험지역(아르헨티나, 베네수엘라, 브라질, 에콰도르, 콜롬비아, 볼리비아, 파라과이, 페루 등)에 거주 혹은 방문하는 분은 접종을 해야 합니다. 모기기피제, 긴 의류로 예방할 수 있습니다.
- 장티푸스: 장티푸스균으로부터 감염되는 질환으로 환자나 보균자의 대소변에 오염된 음식이나 물로 전파됩니다. 고열이 지속되고 오한, 두통, 복통, 설사 등의 증상을 보입니다. 백신을 통해 예방할 수 있으며, 물을 끓여마시고, 음식을 익혀 먹으면 도움이 됩니다. 또한 채소나 과일은 깨끗이 씻어 먹어야 하고 올바르게 손을 씻는 것으로 예방이 가능합니다.
- 말라리아: 말라리아 원충에 감염된 매개모기로 인해 전파되고 이에 감염되어 발생합니다. 발열과 권태감으로 시작하여 오한, 발열이 나타납니다. 예방접종을 통해 예방할 수 있으므로 위험국가에서는 예방접종이 필수입니다.
- 콜레라: 오염된 물이나 음식의 콜레라균에 의해 감염됩니다. 설사, 구토 등의 증상을 보입니다. 물을 끓여마시고 음식을 익혀먹는 것으로 예방할 수 있으며 예방접종이 필요합니다.
예방접종 방법
황열 예방 백신은 국제공인 예방 접종 지정기관에서 접종하여야 합니다. 그 외 A형간염, 장티푸스, 폴리오 등은 가까운 의료기간 및 보건소에서 접종할 수 있습니다. 여행국가 감염병 발생정보를 확인하시고 꼭 출국 전에 예방 접종을 완료하시기 바랍니다.
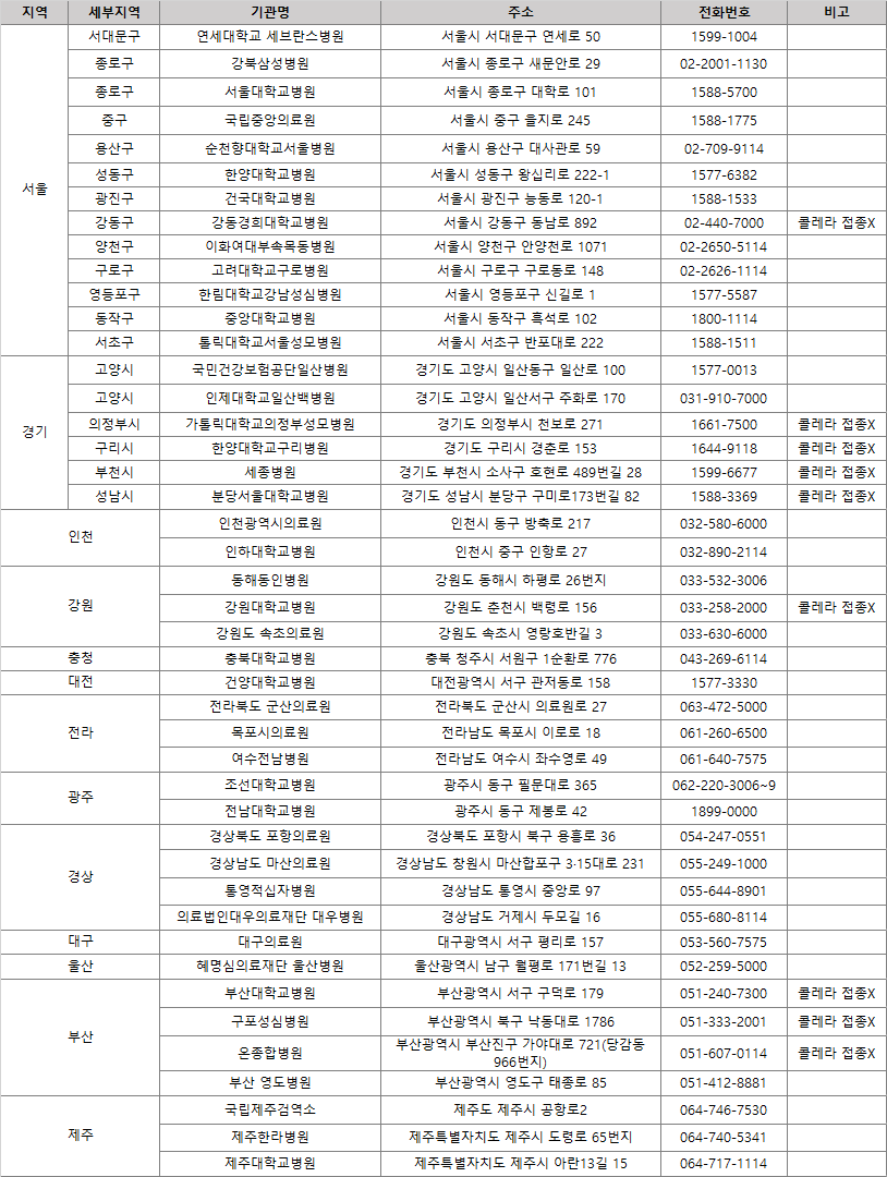
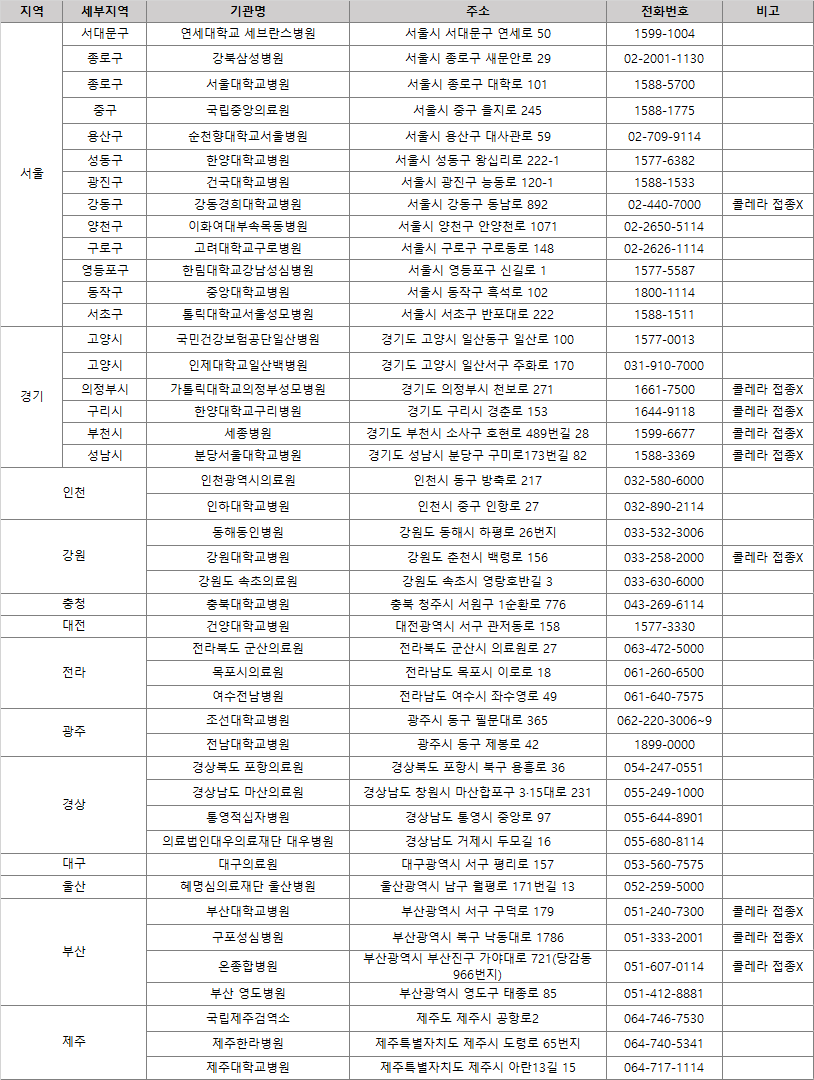
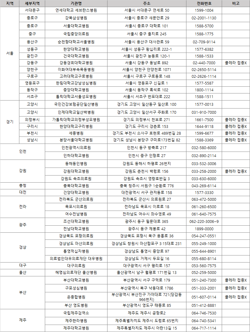
국제공인 예방 접종 지정기관
국제공인 예방 접종 기관에서 예방접종시 준비물은 여권과 수입인지입니다. 수입인지는 수입인지 홈페이지 또는 은행 및 우체국에서 구매가능하며, 국제공인 예방접종 증명서 발급 수수료 수입인지의 가격은 1,000원입니다. 백신비용은 황열 34,700원, 콜레라 39,000원입니다. 접종비용은 국제공인 예방 접종 지정기관을 이용할 경우 19,420원입니다. 아래의 기관명단을 확인하시고 황열과 콜레라 예방접종 하시는 데 도움이 되면 좋겠습니다.

해외여행 감염병 관련 여행자 주의사항
여행 전에 여행국의 위험요인을 확인합니다. 필요한 예방접종을 체크하고 예방접종이 요구될 경우 최소 2개월 전부터 준비하는 것이 좋습니다. 또한 예방약 및 구급약 준비 중 필요시 또는 임신 중이거나 임신 계획이 있는 경우에는 의사와 상의합니다. 기존 복용약물이나 진통제, 해열제, 항생제 등을 준비하고 여행자 보험에 가입하여 만일의 경우에 대비합니다.
여행 중에는 곤충 기피제를 사용하고 긴팔의류를 착용합니다. 음식을 먹기 전에는 반드시 손을 비누로 씻고, 손을 씻을 수 없다면 손소독제를 이용하여 손을 소독합니다. 생수, 끓인 물을 마시고 음식은 완전히 익혀 드셔야 합니다.
지금까지 해외여행 감염병 종류, 예방 접종 방법 및 기관 안내에 대해 안내해드렸습니다. 건강하고 행복한 여행 하시는데 도움이 되면 좋겠습니다.
'해외여행정보' 카테고리의 다른 글
| 트레블월렛 이용후기 신청방법 연회비 혜택 (0) | 2023.03.05 |
|---|---|
| 나트랑 퓨전리조트 객실 공항셔틀 스파 총정리 (0) | 2023.02.20 |
| 로밍 요금 알아보기 skt와 kt의 해외 로밍 (0) | 2023.01.08 |
| 해외여행 준비물 체크리스트로 꼭 확인하세요! (0) | 2023.01.04 |
| 대전 인천공항 리무진 시간표 2023년 1월 업데이트 (0) | 2023.01.03 |